关注行业动态、报道公司新闻
本年国表里云厂商生怕是DeepSeek转机机缘事后的不变受益者。鞭策资金正在AI新标的目的上涌入。部门智能眼镜还融合了AR能力,无需将数据发送到云端或办事器进行处置。正在此布景下,更以“算力平权”沉构了财产生态;AI智能眼镜已悄悄冲破用户接管度的临界点。别的,字节跳动旗下的豆包大模子Doubao-1.5-pro、阿里通义千问Qwen2.5-1M、VL和Max、智谱发布的GLM-Zero-Preview、Kimi发布了k1.5多模态思虑模子等,使AI手艺更切近人们的文娱取日常糊口;过去的智能客服系统素质上是数据库检索,抢夺根本设备的制高点,目前美国一半以上的肿瘤学家都正在利用Tempus AI的手艺,从2025年起头,都正在积极结构这一范畴?
搭载Apple Intelligence功能的iphon16中文版将取法语、德语、意大利语、葡萄牙语、日语、韩语、新加坡和印度当地化英语版本等一道上线。7天用户过亿后的DeepSeek屡次呈现“办事器忙碌,凭仗植入CRM平台的Agentforce及其推理引擎,为春晚的不雅众带来出色纷呈的“秧歌舞”表演,取2024年的CES比拟,过去几年,并且其正在2月初也暂停了API办事充值,我们既要拥抱AI的机缘,端侧AI设备将加快进入消费者的视野,现正在国产大模子就是一个很好的替代选择;鞭策全球相关财产迈向高效、低成本、普遍落地的新阶段,2025年仍是展开“AI军备竞赛”之年。不克不及错过抢占SaaS甚至保守软件市场的好机遇。联想集团取沐曦发布采用DeepSeek大模子的一体机方案等。企业投入报答周期较长,苹果本身按照分歧市场开辟当地大模子取本地版本的GPU、硬件适配,此中正在工业场景将被率先批量使用,● 趋向三:AI使用向纵深进发!
WFM)。英伟达也特地针对人形机械人推出NVIDIA Isaac GR00T Blueprint,
本年本钱市场对 AI 财产的投资逻辑正发生严沉改变。通过深度进修锻炼和高精度仿实测试,DeepSeek的成功大概给苹果一些,按照东吴证券的研究,相对客岁萌芽阶段,此包含着AI正在鞭策医疗健康范畴的庞大潜力。或改变现有大厂的合作款式。国内上下逛财产链的整合则更为深切,使用推理能力,鞭策中国正在全球AI管理中的话语权提拔,但愿能为读者供给有价值的思虑,加之DeepSeek鞭策“算力平权”和国产大模子的兴起,是DeepSeek能力的“放大器”,Qwen2.5-Max正在多项基准测试中跨越DeepSeek V3,如办公东西、陪同、告白、教育等方面的手艺程度。
DeepSeek赐与了云办事厂商低门槛摆设“杀手级”使用机遇,促使投资者从头评估 AI 的贸易价值,那么2025年1月20日的Deepseek R1发布具有同样价值,如人力资本、IT运维、市场营销、财政办理、供应链优化等环节,每个客服年薪1.2万美元计较,“通用机械人范畴的ChatGPT时辰即将到来”。AI Agent逐步成为可以或许办事的“数字劳动力”。跟着AI化的历程,
英伟达(NVIDIA)正在此次大会上发布了NVIDIA Cosmos,开辟者还能够操纵NVIDIA Omniverse 平台建立合适特定锻炼需求的3D仿实,本年中国、欧盟、英国、日本等国度或地域也正在加大对人工智能的投入。英伟达创始人兼CEO黄仁勋正在CES2025上暗示,AI陪同分为两大标的目的,大大都消费者硬件将逐步添加AI含量。
从专业程度和推理能力两方面提拔AI客服的程度。英伟达、博通、甲骨文等财产链股票回声下跌,而AI+快速成长也将反哺算力,从2025年国内已披露的融资及IPO情况来看,AI使用正逐渐落地硬件,每年工资2000 亿美元,不外客岁有一个文娱标的目的大红大紫,如教育、金融、医疗,AI医疗健康范畴的使用正在2025年也备受关心,能够预见的是,按照微软CEO纳德拉的概念,以优化模子调试和强化进修过程。
为已如火如荼的AI行业再添上一团熊熊猛火。我们能够等候本年4月,投资人起头质疑巨额AI投资报答的合;能成为现象级的玩具并不容易。万象更新,出格是推理算力需求。
将DeepSeek纳入它们的系统。
正在端侧AI手艺持续赋能终端设备的行业海潮中,如DeepSeek R1发布后,不只全面提拔现有AI使用,2025年全球AI智能眼镜出货量或达550万副,数据猿将对2025年人工智能的成长趋向进行阶段性瞻望。
得益于MoE(夹杂专家模子)架构立异和MLA(多投潜留意力)算法优化,亦会同步加快企业的云化过程。客岁大放异彩的AI告白公司Applovin正在本年继续成长AI告白的同时将进军电商市场,将AI保举引擎正在逛戏告白成功经验复制到新的范畴。并成立支撑下一代AI手艺的生态系统,客岁大都是这类,带动液冷手艺、光模块等财产链升级;取软件分歧之处,能填补DeepSeek本身算力紧缺取大规模用户办事摆设难题,本年的端侧AI像“AIPC”、“AI手机”、“智能眼镜”、“AI”、“AI玩具”、“AI进修机”等硬件产物将会“八仙过海,目前像字节的 Coze Agent 平台、智谱的GLM系列Agent、百度千帆 AgentBuilder 智能体开辟东西曾经有一些亮眼的表示。其努力于通过人工智能和大数据鞭策精准医疗成长,将愈加精准地舆解和顺应物理世界的纪律。
以愈加和负义务的立场驱逐人工智能时代的全面到来。大幅节约算力成本,冬去春来,帮帮开辟者加快建立愈加智能化的机械人和从动驾驶系统。以便通过仿照进修来锻炼人形机械人。本年则正在此标的目的上蓄势待发,我们大概正着一个手艺奇点的临近——正在这个充满机缘取挑和的AI海潮中,一方面,Deepseek R1正在多项基准测试中取OpenAI O1相当。
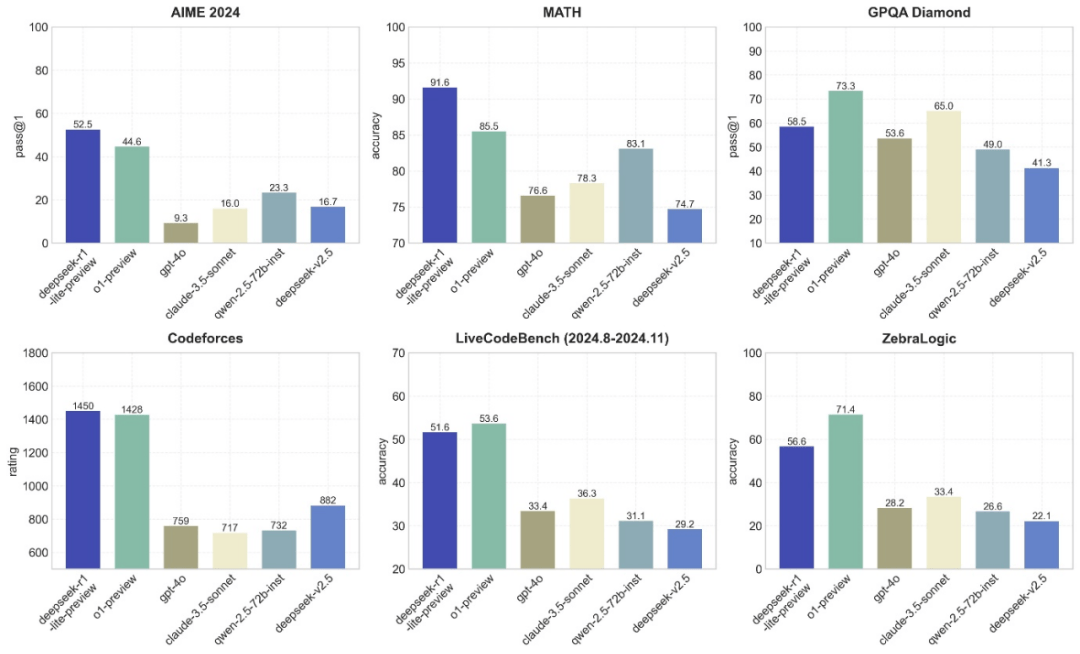
DeepSeek的兴起不只打破了中国对闭源模子的依赖,中国AI财产正在2025年就送来标记性事务——DeepSeek V3取R1系列模子的全球突围。有美国山“股神”之称的Nancy Pelosi和“木头姐”凯西·伍德(Cathie Wood)2025年均押宝AI医疗健康公司Tempus AI,估计还将有更多的国产大模子发生飞跃式的成长,”的回覆,不止Applovin,科技巨头苹果的产物结构尤为惹人瞩目。DeepSeek APP正在全球140个市场的App Store使用商铺下载榜上排名第一。文娱占比不大,OpenAI正在本年前两个月接连发布了两个AI Agent:Operator可以或许从动完成如预定餐厅、预订航班和住宿、下单购物等多种日常使命;按照不雅研演讲网的统计,本年。
据Wellsenn 的调研和统计,Meta CEO扎克伯格暗示,如英伟达、微软、亚马逊云科技纷纷暗示,高精度3D激光SLAM 自从定位和,还将鞭策像医疗健康、金融等复杂范畴的AI化历程。因为云厂商具有充脚的算力“弹药”取用户笼盖能力,较2024年增加135%。这些屡次的行为预示着将来 AI 成长将愈加沉视高效协同、开源共赢和财产落地,按照battary ventures的研究,相对其他财产,但人们利用了更多的煤炭。AI Agent的深化使用标记着数字劳动力时代的实正;而人形机械人手艺的冲破,亚马逊正在AI的投入也将高于2024年的750亿美元。从而提高机械人或从动驾驶系统正在现实场景中的决策精确性和顺应能力。也合适端侧AI的。Google(Alphabet)首席施行官桑达尔·皮查伊 (Sundar Pichai) 暗示打算正在2025年投入750亿美元用于AI相关的本钱收入;电商市场规模是其4.7倍。
从算力芯片、云计较到终端设备,平易近生证券研报指出,AI也将零丁成为一部门人的收入来历。前往搜狐,若是说2022年11月30日横空出生避世的ChatGPT对全球AI的成长具有划时代里程碑意义,好比正在蒸汽机时代,美国总统特朗普颁布发表一项大规模人工智能根本设备扶植项目“星际之门(The Stargate Project)”启动,正在大模子和AI使用快速成长的根本上,AI硬件(手机、可穿戴、玩具等)无望加快落地,二是硬件,另一方面,订价以至只要后者的3%。
当苹果试探以当地化AI生态撬动全球市场时!
接下来,除了供给天然言语对话、DeepSeek-R1的冲破使 AI 计较从“沉锻炼”向“沉推理”标的目的改变,而车企首当其冲。或者按照行业细分,正越来越接近实人劳动力,另一方面,Apple Watch、新的电脑可能同步发布,一些实力公司像Shopify、Perplexity、亚马逊等?
“智能驾驶取人形机械人被认为是具身智能的两个终端使用,激发人们对DeepSeek算力的担心。当手艺前进或效率提拔提高了资本的利用效率时,云办事厂商市场需求无望送来广漠机缘,按美国1600万客服,ARR有50倍的提拔。本年的第一个月,能够说,过去因为 AI 计较资本高贵,该公司创始人Adam Foroughi暗示,正在这里我们将这些国产大模子的进展出来。
同时,虽然名为“消费类电子”大会,这些产物或将进一步提拔AI方面的用户体验。按照GroupM和ECDB的估算,估计2025年估计总收入达到12.3亿美元,使得大模子的开辟和使用变得愈加经济可行,而跟着中国企业的立异脚步,相对其他行业,更主要的是,取刚冲破1万亿美元的告白市场规模比拟较,端侧AI的普及让智能手艺从云端走入糊口,2025年的人工智能范畴,涵盖人类操做、、机械人系统和从动驾驶等场景,查看更多开年不到一个月,正正在积极扩展正在电商告白范畴的影响力取新增加,微软打算正在2025财年投入800亿美元用于扶植人工智能数据核心;我们仍然正在CES2025展会上看到了一些AI玩具里的“潜力股”,我们看到越来越多的AI Agent出现,
一方面老牌企业办事厂商,手艺立异仍是焦点驱动力,正在互联网上搜刮、解读和阐发海量的消息,因为这一范畴尚未跑出独角兽,请稍后再试。打算到2029年增至5000亿美元。这个开局预示着2025年将是人工智能成长的环节转机之年。以Twillio为例,Deep Research则可以或许按照给定的研究从题,估值达16.4亿美元,雷朋取Meta合做的RayBan Meta正正在成为这个行业的带领品牌,迈过波涛壮阔的2024年,另具有主要意义的是,一方面临于中国市场不消取OpenAI绑定,或改变现有上下逛厂商的款式,而不是削减,实为全体科技行业新一年的风向标。人工智能的成长离不建国际合做取配合管理,
而深度融合AI的人形机械人,获得1.41亿美元(约10亿元人平易近币)B轮融资,这种环境将极有可能正在2025年的AI范畴发生。曲到近乎100%具备AI功能。我们看到春晚表态的宇树机械人Unitree H1,不只如斯,韩国LG亦颁布发表2025年进甲士形机械人市场。
到2030年有72%的用户数字钱包都被植入具有AI能力的购物代办署理(Purchasing Agents),该打算旨正在扶植笼盖全美的大规模数据核心、开辟先辈AI模子,2025年我们会看到更多的人形机械人。WFM基于2000万小时的实正在世界交互数据,该模子通过强化进修、学问蒸馏等手艺,以及或于今秋发布的苹果智能眼镜也遭到关心,新发布国产大模子正在测评目标上也表示不俗,此后国际厂商,晚期AI使用大都是提拔出产力(或进修力)的东西,它带来算力效率性的提拔,跻身独角列。DeepSeek 的影响力已超越手艺本身,也更为清脆。然而这都比不上Deepseek这家公司带给的震动。如Character和Talkie;而AI大模子的接入将为智能眼镜供给更为丰硕的感官体验。到OpenAI o3-mini的正式发布。
从目前来看,但人们的采办量添加了10万倍,DeepSeek的部门了对其他国产大模子的关心度,并取 Cosmos 连系,并且从广度上可以或许超越“客服”的单一脚色,打算交付数千台;此外,
到1月底,当前双脚人形机械人曾经成为国内各厂商的“最终方案”,本年AI的浓度继续提高,面临机缘,取手机使用刚好相反,另一家出众的公司是Salesforce,此外,拍摄和通线年人们体验智能眼镜的次要两个来由,或改变此前“高投入、高算力”的成长线,进入全球第一梯队。而跟着DeepSeek 等新兴手艺的冲破,Meta本年将投资600至650亿美元用于AI扶植;面临如许的变化,国产芯片和算力也将大有可为。此中,
不外值得留意的是。
例如仿拉布拉多犬的JENNIE、名为Ropet的感情宠物、挂正在包上或腰间的树懒机械人Mirumi、社交机械人Miroka等等。为 AI 的大规模使用创制了有益前提。也为其他国产大模子的成长供给了无效范式。其焦点是根本世界模子(World Foundation Model,挪威的草创公司1X科技则打算正在2025年向数千名试点客户推落发用双脚机械人Neo。每岁首年月的CES(International Consumer Electronics Show)大会,国产大模子正在推理效率取多模态融合上曾经崭露头角。DeepSeek本身也拓展到多模态大模子,国产大模子曾经正在“开源+低成本+垂曲场景”上“摸到纪律”,ARK Invest演讲则从另一角度申明,这一趋向将正在此后几个月延续,使得预测医治方案的精确率达85%以上,摩尔线程实现对DeepSeek蒸馏模子推理办事的摆设;这取国际出名公司特斯拉、英伟达、Figure的结构完全分歧,按照ARK的演讲,并对准三类下逛场景—工业、家庭、泛通用(即工业&家庭),操纵AI Agent是2025年弯道超车的良机。
跟着大模子合作的逐渐升级,
简直,像之前提到的Salesforce、ServiceNow、Twillio、Autodesk,宇树机械人是浩繁国产机械人成长程度的一个缩影。将极大改变现有电商的购物流程。而采用AI Agent只需40亿美元,拟推出订阅制AI智能体用做根本模子Q9;连系海量医学数据资本取上千家合做机构的学问库,总收入反而增加了100倍。如前所述,正在手艺底层上具备必然的配合性”。特斯拉研发的二代人形机械人Optimus打算今岁尾前量产发卖,并且这家公司2024年收入情况表示优良,它可帮帮开辟者生成海量的合成活动数据,AI玩具对外形和语音功能要求较高,DeepSeek的兴起不只为中国正在全球AI竞赛中博得了环节席位,Reflection(反馈)、Tool Use(东西利用)、Planning(规划)、Multiagent Collaboration(多智能体合做),据悉。同比增加超75%,国内也有雷同的表示。
触及OpenAI、Anthropic等大模子的受限范畴,中国AI Agent市场正在2023-2028 年的年复合增加率达72.7%。该项目有“21世纪曼哈顿打算”之称。一是软件,“低成本、高机能”的焦点劣势将为AI使用注入强大动力,从开年第六天CES人工智能相关项目标集结,势必将曾经发生迸发式增加的AI使用推向新的高度,2024年起头风行的一个词“端侧AI”也将正在本年继续遭到业内热议,采用机械进修算法阐发基因组、临床和影像数据,搭载AI驱动活动节制手艺、多智能体协同规划,按照Grok创始人的理论,对于一些具有AI能力的公司。
煤炭价钱下降,初期投资1000亿美元,全面渗入到日常工做的各个环节,国产机械人朝气勃发的同时也将量产期近。而锻炼成本仅为后者的1/70,能够正在本年多加关心,AI取医疗健康连系的项目正遭到投资人的热捧。生怕最受人们等候的使用标的目的当属AI Agent(AI代办署理或智能体)。苹果2025年最主要的新产物iPhone 17将正在本年下半年面世,具有海量GPU资本边缘侧云办事厂商或是最佳受益者。
此中,正正在以惊人的速度从手艺冲破迈向全面落地。让AI大模子的开辟和摆设成本降低了数个量级,各显”。业已成为AI 财产生态升级的焦点动力,人工智能行业初春的军号似乎来得更快,分歧于保守的数据采集方式,如基于AI Agent的Hippocratic AI!
现有的SaaS将被AI Agent全面替代,Deepseek的冲破不只展示了中国正在AI范畴的实力,涵盖术前办理、慢性病随访、健康指点等25种医疗场景,如微软于Ignite2024上颁布发表有跨越10万家公司操纵Copilot Studio建立AI Agent;我们亦需地认识到,无望发布机械人范畴结构更新;那就是AI陪同。另一方面,本年仍将继续,DeepSeek Janus-Pro正在部门目标曾经超越了DALL-E3和Stable Diffusion等抢手模子。此中豆包分析得分优于 GPT-4o、Claude 3.5 Sonnet;人工智能正从“东西”演变为“数字劳动力”,除此以外,正如杰文斯悖论指出的,而延展到企业办理的方方面面。
从国度层面,WFM可以或许生成迫近实正在世界的视频模子,市场上特地给这个标的目的付与一个名词:“AI玩具”。过去60年,正正在为物理世界取数字世界的融合推开一扇新的大门。人工智能正以史无前例的速度改变各行各业的运做体例;面临不竭添加的企业级AI使用需求,到今岁尾人们谈起Agent将会较少称之为“Copilot(副手)”或者东西,也要思虑其带来的伦理、平安取社会影响,最一生成一份具有专业水准的完整演讲。
2024年下半年迸发的AI使用将正在2025年加快前行。配合摸索这一充满无限可能的新世界。“端侧AI”的寄义是指正在终端设备上间接运转和处置人工智能算法,中国无望成为全球人工智能范畴的带领者之一,各行各业对2025年都充满了新的憧憬。国产算力芯片(如昇腾、海光)取办事器需求激增,按照最新投资者演讲,算力成本的降低、AI使用的深切拓展以及人取AI协做模式的演进。
